直流电测井具有较宽的地层电阻率测量范围,是水基泥浆井和中高阻地层电阻率测量的必备手段。大斜度井/水平井中,阵列侧向测井响应受层厚、井斜及侵入等影响极为严重,造成视电阻率曲线乱序,无法精确反演地层电性信息。响应的快速正演是测井资料校正和处理的基础,斜井有侵地层侧向测井的正演主要依赖三维有限元等数值算法。该类算法直接求解麦克斯韦方程组,亦称物理驱动正演,具有精度高、灵活性强的优势,但速度过慢限制了其在资料处理的应用。近年来国内外学者提出了基于深度神经网络和卷积神经网络的数据驱动计算方法,但仍面临模型固定、泛化能力弱、精度不可控等问题。
为此,论文提出了物理+数据驱动逼近正演方法和层状阵列侧向测井数值几何因子理论。首先,建立一维(柱状或水平)层状介质模型,基于有限元产生高精度、全标签化数据库。进一步,引入神经网络算法,建立地层模型与视电阻率响应的隐式关系。两者结合将传统刚度矩阵求解转化为一系列小矩阵的运算,极大简化计算复杂度。数值几何因子等效计算的关键是将地下介质看成一系列地层电阻的串联。柱状成层介质中,可以认为测井响应是由侵入带电阻率和原状地层电阻率串联的结果。相比而言,水平层状介质中,受到仪器对界面敏感性的影响,测量点的测井响应受到上下一定范围以内的地层电阻率的影响较大,而这一范围内层的数量无法确定。通过几何因子将多层模型等效成三层或五层模型可以很好地减少建模过程中参数无法确定或参数过多的困难。

图1. FEM与神经网络正演结果对比

图2. 多层模型等效为五层/三层模型
阵列侧向测井响应逼近计算方法和数值几何因子包含三个优点:(1)数值几何因子理论弥补了现有直流电测井几何因子的理论空白,且能够直观给出纵向和径向地层的空间贡献分布;(2)几何因子曲线可用于快速计算测井响应。与传统的物理驱动建模相比,计算速度可以提高数千倍,从而实现实时数据处理。同时,几何因子的正演建模可以处理任意层的地层,从而解决了传统数据驱动方法只能固定地层数量建模问题;(3)几何因子用于近似测井响应相对于地层电阻率的导数,显著降低确定性反演的雅可比矩阵计算的复杂性。数值几何因子不仅可以作为阵列侧向测井较好的正演方法,还将有助于加速层状结构中测井的建模和反演。

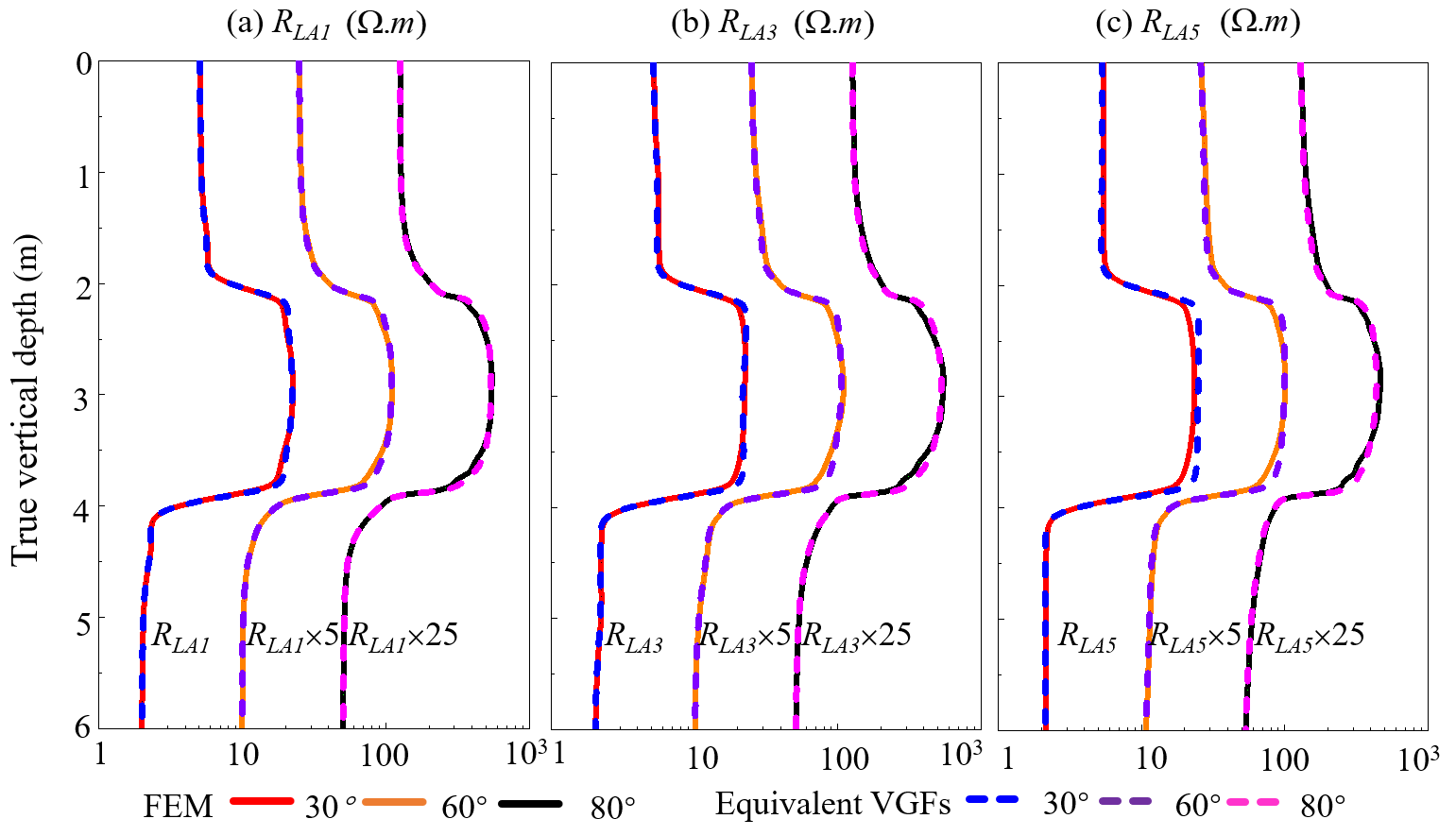
图3. 三维几何因子和有限元阵列侧向测井正演响应对比
研究成果近期发表在地学领域国际重要期刊Geophysics。研究成果受到国家自然基金(U23B2086, 41904109, 42204121)以及崂山实验室科技创新项目(LSKJ202203407)联合资助。论文第一作者为yL23411永利集团范宜仁、邓少贵教授团队的王磊副教授,通讯作者为中国电子科技集团第二十二研究所第七研究部部长李智强教授,合作作者包括邓少贵教授、韩月阳、郝冬晗。
论文信息:Lei Wang, Yueyang Han, Zhiqiang Li*, Donghan Hao and Shaogui Deng, 2025, The Joint Physics and Data Driven Geometrical Factor of Array Laterolog in Layered Formations. Geophysics, https://library.seg.org/doi/full/10.1190/geo2024-0112.1